Menu
Mateřská školaDrnovice

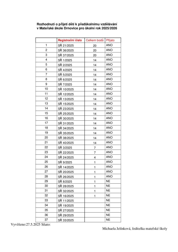
Rozhodnutí o přijetí na šk. rok 2025/2026

Rozhodnutí o přijetí na šk. rok 2025/2026

Rozhodnutí o přijetí/nepřijetí se budou vydávat v MŠ Drnovice od 29.5. do 11.6. 2025 každý den v době provozu MŠ.

Datum vložení: 27. 5. 2025 13:14
Datum poslední aktualizace: 27. 5. 2025 13:20
Autor: Správce Webu

O škole

Rychlý kontakt

MŠ Drnovice
517 353 381

skolka@ms-drnovice.cz

Účetní, vedoucí školní jídelny
602 538 363

ucetni@ms-drnovice.cz

Projekt

Publicita

,,Všechny knihy zežloutnou, ale kniha přírody má každý rok nové, nádherné vydání."

Hans Christian Andersen


nahoru